Prosimy, odblokuj wyświetlanie reklam w naszym serwisie, są one związane z rynkiem nieruchomości.
To dzięki nim masz darmowy dostęp do naszych treści.

Z pozdrowieniami zespół KRN.pl :)


telefon

wiadomość

mapa

Działki, Baranów

Działki na wynajem Baranów (woj. Mazowieckie)

Lokalizacja:

Baranów, , ul.

Powierzchnia:

355628 m2

Cena:

74 798 zł

Dane szczegółowe

lokalizacja:
Mazowieckie, Baranów
typ obiektu:
działka na wynajem
cena:
74 798 zł
powierzchnia:
355628 m2
numer ogłoszenia:
2541/3186/OGW
data dodania:
08-04-2026
data modyfikacji:
08-04-2026
jakość wypełnienia oferty:
86%

Szczegóły oferty

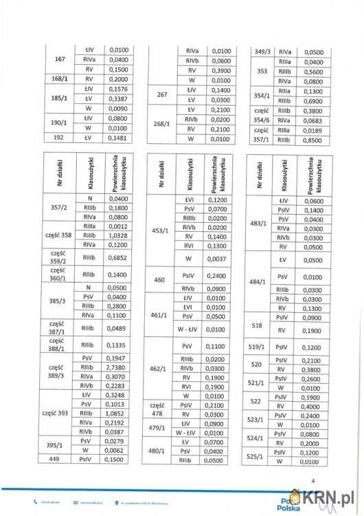
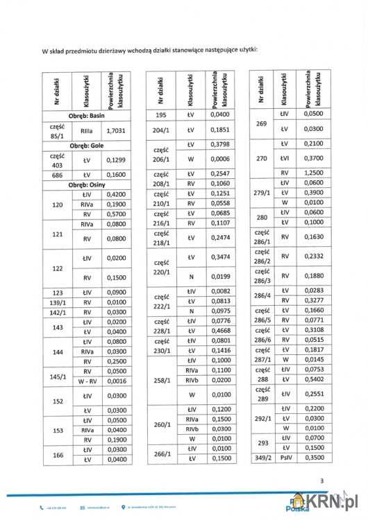
I przetarg ustny nieograniczony na dzierżawę nieruchomości na cele rolne



Kontakt:
Centralny Port Komunikacyjny Sp. z o.o.
tel: Zobacz kontakt539 188 172
Zobacz kontaktanna.misiorowska@cpk.pl


Oferta wysłana z programu dla biur nieruchomości ASARI CRM (asaricrm.com)



Kontakt:
Numer telefonu: Zobacz kontakt539 188 172
Adres email: Zobacz kontaktanna.misiorowska@cpk.pl

Oceń ofertę


0


70 wydruk błąd schowek

Ostatnio przeglądane

 

 

 

pobieranie

Pobierz wzór umowy

Umowa przedwstępna najmu

wybierz plik do pobrania
doc pdf

 

 

Deweloperzy

);